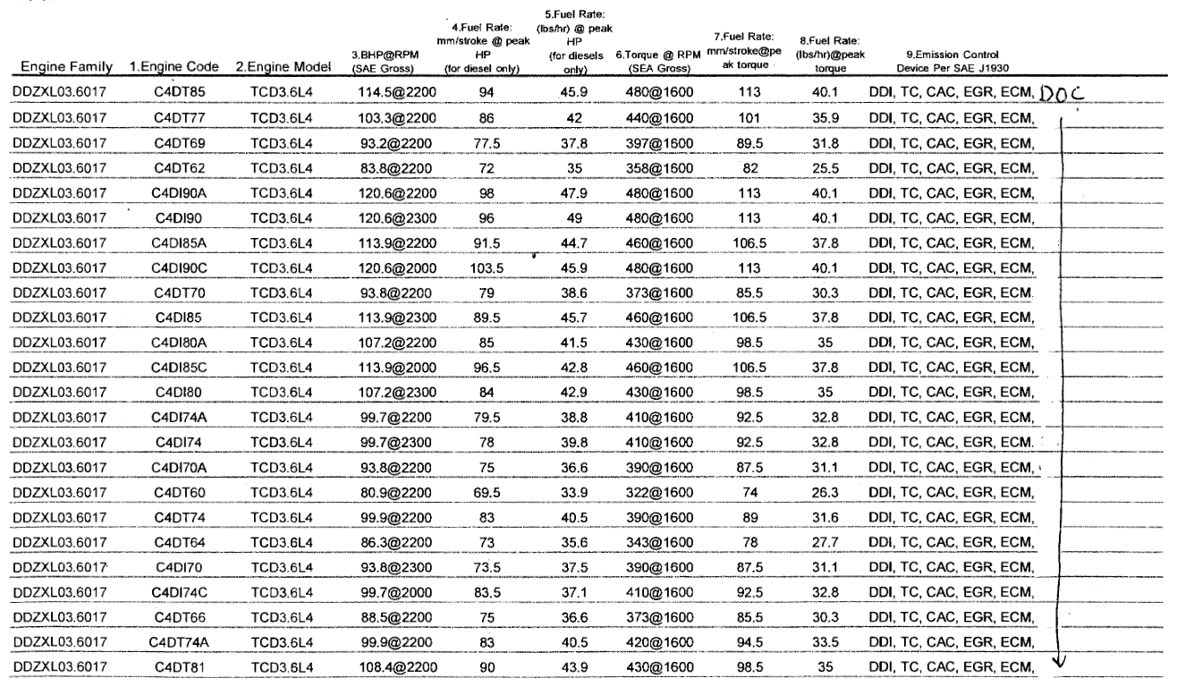
Da gibt man einfach mal den Motorcode an, statt das Modell.
Wer es sich umschlüsseln mag, ich hab da mal was gefunden:
Aktuelle Zeit: So Nov 02, 2025 1:46

Kreuzschiene hat geschrieben:Wenn es bei Raps in Richtung 7 Tonnen Ertrag geht, ist Lager meist nicht zu vermeiden. Ich spreche da leider aus Erfahrung.


Nordhesse hat geschrieben:Jeweils Nennleistung ECE R 24
150 PS, Schlepper soll als Pflegeschlepper mit 580er Reifen laufen, aber auch den Düngerstreuer mit 4000 kg im Heck fahren können- Frontladerausstattung ist vorgesehen.
180 PS Schlepper soll sowohl den 150 PS Schlepper ersetzen können, aber auch bei Bedarf 5- Scharig pflügen - Frontladerausstattung ist vorgesehen
Die obersten beiden sollen evtl. die beiden TTV 620 ersetzen. Wir können uns mittlerweile eine Differenzierung vorstellen, also einer etwas kleiner, der andere etwas größer
290 PS- 450 h schwere Bodenbearbeitung, 350 h Gülle fahren, 200 h Transportarbeiten
Mitglieder: Bing [Bot], Google [Bot]